Index of /yinglong/hjyoo/SECOFS_project/RUN06e_HJ/Elev

[ICO]NameLast modifiedSizeDescription

[PARENTDIR]Parent Directory  -  
[IMG]NOAA_elev_Sava.png2024-03-22 11:03 176K 
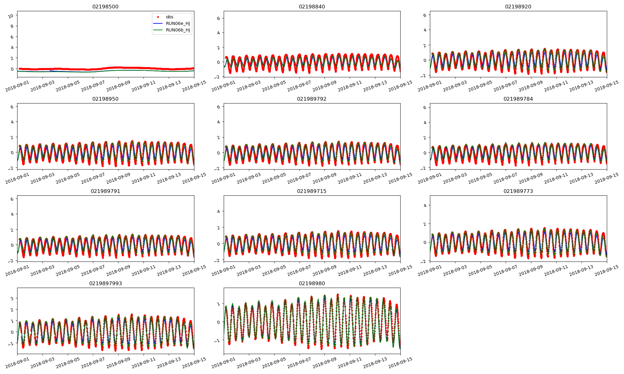
[IMG]USGS_elev_Sava.png2024-03-22 11:03 530K 

Apache/2.4.29 (Ubuntu) Server at ccrm.vims.edu Port 443