Index of /yinglong/hjyoo/STOFS3D_Steric/1p1_v4/HA

[ICO]NameLast modifiedSizeDescription

[PARENTDIR]Parent Directory  -  
[IMG]HA_Atlantic.png2025-01-16 18:02 555K 
[IMG]HA_Atlantic_inland1.png2025-01-16 18:03 614K 
[IMG]HA_Atlantic_inland2.png2025-01-16 18:03 597K 
[IMG]HA_Florida.png2025-01-16 18:04 396K 
[IMG]HA_GoME.png2025-01-16 18:05 359K 
[IMG]HA_GoMX_east.png2025-01-16 18:06 636K 
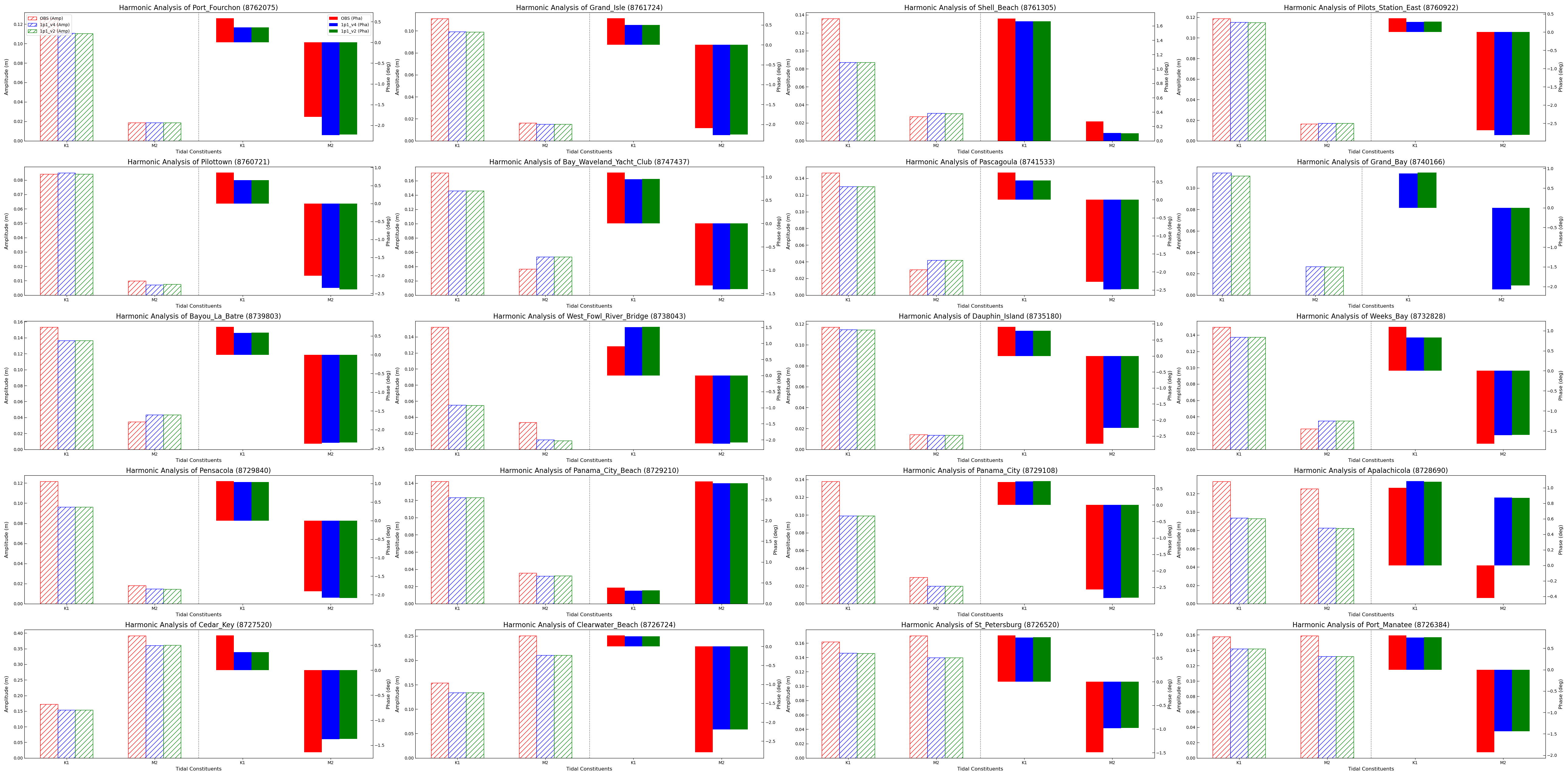
[IMG]HA_GoMX_inland.png2025-01-16 18:07 889K 
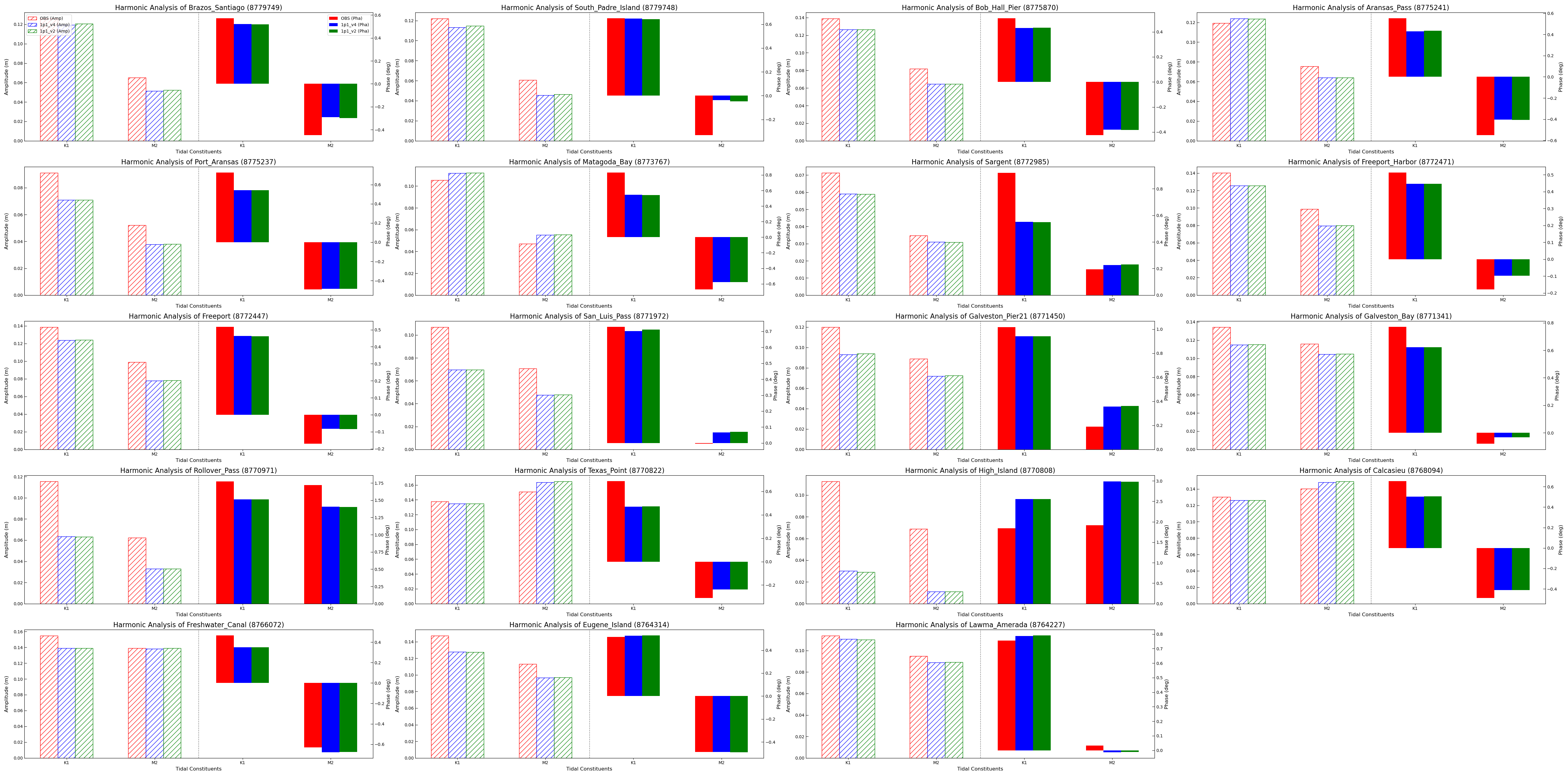
[IMG]HA_GoMX_west.png2025-01-16 18:10 648K 
[IMG]HA_Puertorico.png2025-01-16 18:11 538K 
[IMG]Spatial_Map_of_Diff_K1.png2025-01-16 18:34 4.4M 
[IMG]Spatial_Map_of_Diff_M2.png2025-01-16 18:34 4.4M 

Apache/2.4.29 (Ubuntu) Server at ccrm.vims.edu Port 443